Persamaan Kuadrat merupakan persamaan polinomial berorde 2 dengan bentuk umum y=ax²+bx+c .
Nilai koefisien a, b dan c akan menentukan bentuk parabola dari fungsi persamaan kuadrat pada sumbu xy.
- Nilai koefisien a akan menentukan bentuk parabola, berbentuk cekung atau cembung. Jika nilai a>0 maka parabola akan terbuka keatas. Begitu juga sebaliknya jika a<0 akan="" kebawah.="" li="" maka="" parabola="" terbuka="">0>
- Nilai koefisien b akan menentukan posisi x pada puncak parabola atau sumbu simetri dari kurva yang dibentuk, dengan posisi tepatnya x = -b/2a.
- Nilai c akan menentukan posisi titik potong fungsi parabola pada sumbu y pada saat x=0 dan y = c.
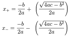
Rumus ABC
Rumus ABC karena digunakan untuk menghitung akar-kar persamaan kuadrat yang tergantung nilai-nilai a, b dan c.
Bagian dalam tanda akar b²-4ac disebut Diskriminan yang dinyatakan dengan simbol D.
Terdapat 3 kemungkinan kasus :
2. Jika Diskriminan bernilai 0 atau D = 0, maka akan diperoleh akar kembar dimana
x1 = x2, dengan persamaan :
x1 = x2, dengan persamaan :








Tidak ada komentar:
Posting Komentar
Silakan memberikan komentar dan pertanyaan yang sifatnya positif.